안녕하세요 바니입니다!!
오늘은 저번 게시글에서 언급했던 reverse bais에 대해 자세히 알아보도록 하겠습니다!
2022.01.03 - [전자공학과 전공/물리전자II] - [ 물리전자II ] P-N Junction의 Forward bias와 Reverse bias (1)
[ 물리전자II ] P-N Junction의 Forward bias와 Reverse bias (1)
안녕하세요 바니입니다! 오늘은 저번에 배웠던 P-N junction에 전압을 걸어준 상태인 Forward bias와 Reverse bias상태에 대해 설명하고, Forward bias에 대해 집중적으로 정리해 보겠습니다 :) P-N Junction에서..
electronics-bani.tistory.com
저번 게시글에서 이어서 보시면 좋아요 ㅎㅎ!
- Reverse breakdown current
이전 게시글에서 전압-전류 그래프를 살펴 보았는데요, forward bias에서는 급격히 증가하였고, reverse bias에서는 일정한 전류값을 유지하는 형태의 그래프였습니다. 하지만 reverse bias에도 전류가 급격히 증가하는 구간이 존재합니다!

reverse bias의 전압을 걸어줄 때 기준 이상의 전압, V_br 를 걸어주면, 위 그래프와 같이 reverse current가 급격하게 증가합니다. 이때의 기울기는 거의 수직과 같고 이렇게 흐르는 전류를 Reverse breakdown current라고 합니다.
(그리고 기준 이하의 전류는 Reverse saturation current라고 이전 게시글에서 정의했습니다!)
P-N Junction에 갑자기 큰 전류가 흐르게 되면 고장, 발열등이 생길 수 있기 때문에 이를 방지하기 위해 저항 R을 설치합니다. 옴의 법칙, I=V/R로 인해 R이 무한대로 전류가 증가함을 막아줍니다.
이러한 Reverse breakdown current가 일어나는 원인은 두 가지 존재합니다.
1. Zener Effect

Zener Effect는 tunneling 현상으로 인해 p-type의 valence band에서 n-type의 conduction band로 electron이 금지된 상태를 뛰어넘어 이동하면서 전류가 흐르게 되는 것을 말합니다. 낮은 전압과 heavily doping으로 인해 sharp한 junction이 형성되면 W가 짧아지게 되고, tunneling distance(d)가 작아지게 되는 것이 tunneling현상 입니다. doping이 적을 때는 무시할 수 있는 정도가 됩니다.
2. Avalanche Effect

Avalancne Effect는 주로 doping이 적게 된 상황에서 impact ionization으로 인해 발생합니다. impact ionization은 e-가 E-field로 인해 가속되어 hot electron이 되면 다른 EHP와 충돌하면서 carrier가 증가하는 과정을 말합니다. 이러한 과정을 통해 EHPs가 계속 생성하면서 carrier도 증가하게 되고 이로인해 전류가 증가하게 됩니다.
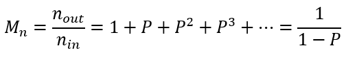
이러한 상황에서 얼마만큼의 carrier가 생성되는지를 확률적으로, 실험적으로 알아보겠습니다. 우선,
- P : 하나의 carrier가 또 다른 EHP를 만들어 낼 수 있는 확률
이라고 가정하면, 들어가고 나온 electron의 갯수는 다음과 같이 정의할 수 있습니다.

그리고
- M : 들어가고 나온 carrier의 비율
을 구하면

이렇게 이론적으로 carrier의 multiplication을 구할 수 있습니다. 이를 실험적으로 도출한 결과(empirical relation)는 다음과 같습니다.

이를 통해 V가 V_br에 가까워 질 수록 M이 급격하게 증가하는 것을 알 수 있습니다.

앞에서 우리는 p+n에서 n doping농도가 감소하면 W가 커짐을 알 수 있었습니다. reverse bias상황에서 양단의 V가 고정되어 있다면 W가 멀어지면서 사이에 형성되는 E-field가 감소하게 됩니다. 즉, impact ionization은 E-field로 인한 가속으로 생기기 때문에 V_br은 증가하게 됩니다. 이를 정리해 보면 N_d가 높을수록 V_br가 감소하면서 impact ionization이 잘 발생합니다.
그러면 avalanche breakdown을 더 잘 일으키게 하려면,
① zener breakdown을 없애기 위해 avalnche effect를 보다 먼저 일어나게 해 tunneling을 방지할 수 있고, doping을 적게 해주면 됩니다.
② V_br을 감소시키면 avalanche breakdown이 더 잘 일어나기 때문에, 도핑 농도를 늘려 W를 작게 해 E-field을 늘립니다.
반대로 band gap을 늘려 ionizing 충돌에 필요한 에너지를 증가시켜 V_br을 키우면 avalanche breakdown을 줄일 수 있습니다.
breakdown을 이용해, 특정 전압에서 breakdown이 일어나도록 설계해둔 diode를 breakdown diode라고 합니다. Zener diode라고 부르지만, 실제로 작동하는 원리는 Avalanche effect로 작동합니다. 이러한 현상을 이용해 Voltage regulator, 전압 조정기를 만들 수 있습니다.
이렇게 발생하는 breakdown을 방지하는 방법은 세가지 존재합니다.

① Beveling - 그림 a
p-n junction의 edge부분에 junction의 거리를 넓힘으로써 breakdown을 줄일 수 있습니다.
② Guard ring - 그림 b
p-n junction의 edge부분에 doping농도를 줄이 W를 증가시킴으르써 breakdown을 줄일 수 있습니다.
③ Punch through - 그림 c
(후에 MOSFET에서 자세하게 설명하겠습니다!)
- Rectifier

Rectifier는 breakdown이 일어나지 않는 범위에서 reverse bias가 걸려있는 p-n junction이 하는 정류작용을 말합니다. 위의 세가지 형태의 정류작용이 일어날 수 있습니다.
- Charge Storage Effects

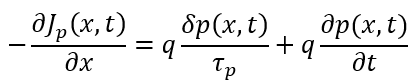
전 게시글에서 forward bias상태에서의 전류를 구했는데, 다른 방법으로 전류와 전압의 크기를 구해보려 합니다. 물리전자1 과목에서 <Time-dependent continuity equations>를 배운 적 있습니다. 다음과 같은 식이죠.

recombination되는 농도와 들어오는 농도의 합이 전류밀도가 됩니다. 이를 적분하면 전류를 구할 수 있고, 경계조건을 이용해 식을 전개하면 전류에 대한 식을 유도할 수 있습니다. 유도과정은 생략하겠습니다..!

즉 전류는
(1) n-type 내의 minority carrier인 h의 총 량은 lifetime이 지나면 recombination을 통해 사라지고,
(2) 새롭게 주입되는 만큼 교체됨
을 알 수 있습니다.

만약 currnet를 갑자기 없앤다면, junction에는 voltage가 남아있기 때문에 전류는 천천히 감소하게 됩니다. 그렇기에 갑자기 전압은 없어지지 않습니다.
Q의 값은 다음과 같고

이를 이용하여 전압을 구할 수 있습니다.

전압의 식을 보아 전압은 갑자기 없어질 수 없고 이로 인해 고속을 요구하는 switching역할을 할 때 문제가 될 수 있습니다.
- Reverse Recovery Transient

위와 같이 전기장을 통과시키는 diode를 가정해 봅시다. 위는 t=0에서 forward bias ->reverse bias으로 바뀌는 상황으로 diode가 switching되고 있습니다. 위에서 배웠듯이 시간이 흐르면서 점점 양이 줄어들게 됩니다. 꽤나 큰 delay가 발생하고 normal reverse saturation current보다 더 큰 reverse current가 stored charge(반대편으로 넘어가 minority carrier로 저장된 charge)로 인해 발생하게 됩니다. 즉 일정시간동안 반대 방향으로 전류가 잠깐 흐르게 됩니다. 그리고 일정 시간동안 반대로 전류가 흐르는 시간을 storage delay time, t_sd라고 합니다.
switching time과 t_sd는 비례하는 관계를 가집니다. (자세한 식은 생략하겠습니다ㅎㅎ,,,,,)
이렇게 switching 되는 diode에서 switching을 빨리 하기 위해 t_sd를 줄이는 방법은
① stored charge의 양 줄이기
p+n에서 n-type 두께를 minority carrier diffusion 거리보다 짧게 만든 narrow base diode로 저장하는 charge의 양을 줄일 수 있습니다.
② life time 줄이기
불순물(impurity)를 doping하면 recombination의 속도가 빨라지기 때문에 life time이 줄어들게 됩니다. life time과 t_sd는 비례하기 때문에 t_sd도 감소합니다.
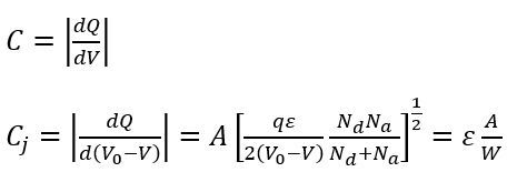
- Capacitance of PN Junction
p-n junction에는 charge를 저장할 수 있습니다. 이는 capacitor와 같은 역할을 하게 됩니다.
1. Junction capacitance
reverse bias에서 주로 결정되는 Junction capacitance는 MOSFET 등 주로 많이 사용됩니다. V_r가 증가하면 W가 증가하게 되므로 저장할 수 있는 전하의 양이 늘어나게 됩니다.

저장할 수 있는 전하량은 다음과 같습니다.

커패시턴스의 공식,

을 이용하여 Junction capacitance를 구할 수 있습니다.
p+n junction에서는 N_a>>N_d 이므로,

가 됩니다.

V_r에서 dV_r만큼 움직이면 그만큼 저장할 수 있는 전하의 양은 증가하게 되고, 전압이 움직인 만큼 진동하면서 양 단에 걸려있는 charge의 양이 바뀌게 됩니다.
즉, V가 증가하면 W가 증가하고, V가 감소하면 W가 감소하게 되므로, V와 W는 비례관계를 갖습니다.
2. Diffusion capacitance
forward bias에서 주로 결정합니다. diffusion length보다 긴 경우에는 recombination이 더 잘 일어나기 때문에 diffusion capacitance의 관찰이 쉽기 않기 때문에.
주로 Junction capacitance를 사용한다고 합니다.
오늘의 포스팅은 여기까지 입니다... 수식이 많아서 조금 복잡해 보이지만 외우는 것에 초점을 맞추지 않고 이해하는 것에 초점을 맞추고 보면 생각보다 이해가 잘 될지도...?
지금까지 p-n junction에 대한 이론적인 이야기를 다뤄왔고, 마지막 p-n junction 글은 앞에서 배운 이론과 다른 현실에서의 내용을 다뤄보려고 합니다. 금방 올릴게요! 감사합니다!!!

'[학부 일기] 전자공학과 전공 > 물리전자II' 카테고리의 다른 글
| [ 물리전자II ] Metal-Semiconductor Junction (0) | 2022.02.15 |
|---|---|
| [ 물리전자II ] P-N Junction의 Forward bias와 Reverse bias (3) (0) | 2022.02.15 |
| [ 물리전자II ] P-N Junction의 Forward bias와 Reverse bias (1) (0) | 2022.01.03 |
| [ 물리전자II ] P-N Junction의 정의와 구성 요소 (2) | 2021.12.20 |
| [ 물리전자II ] Fabrication Process : 공정 과정 (0) | 2021.10.30 |