안녕하세요 바니입니다!
오늘은 저번에 배웠던 P-N junction에 전압을 걸어준 상태인 Forward bias와 Reverse bias상태에 대해 설명하고, Forward bias에 대해 집중적으로 정리해 보겠습니다 :)
- P-N Junction에서의 Equilibrium, Forward bias, Reverse bias

P-N Junction에 아무런 전압을 걸어주지 않은 상태를 우리는 Equilibrium이라고 합니다. 이 상태에서는 built in potential 만큼인 Vo의 전기장이 걸리게 됩니다. 앞 글에서 설명했던 P-N junction은 모두 Equilibrium상태로 정의됩니다.
Forward bias 상태는 p-type쪽에 (+), n-type쪽에 (-)가 걸린 상태입니다. V_f만큼의 forward bias를 걸어주면 V_o-V_f 만큼의 전기장이 걸리게 됩니다. 그리고 q(V_f)만큼의 fermi level의 차이가 생기게 됩니다.
Reverse bias 상태는 Forward bias와 반대로 n-type쪽에 (-), p-type쪽에 (+)가 걸린 상태입니다. V_r만큼의 reverse bias를 걸어주면 V_o+V_r만큼의 전기장이 걸리게 됩니다.

위 potential과 energy band 그림들 처럼 외부 전압(applied voltage)를 가해주면 이 전압은 중성의 p, n영역 보다 depletion region에 더 영향을 많이 끼치게 됩니다. 그래서 diffusion current는 forward에서 더 많이 흐르고, reverse에서는 흐르지 않습니다. depleion영역에서 열 E를 받아 생성된 EHP는 E로 인해 서로 반대방향으로 흘러가게 되고, 이렇게 흐르는 current를 generation current라고 합니다. drift current는 potential barrier, E의 크기에 영향을 받지 않습니다. 이로 인해 reverse bias에서는 generation current만 흐르고 이를 reverse saturation current, reverse generation current라고 합니다.
그리고 total current = generation current + diffusion current이 됩니다.
- Minority carrier Injection under Forward bias
Forward bias를 걸어주면 minority carrier의 농도가 폭발적으로 증가하게 됩니다. 이렇게 carrier 주입이 일어났을 대 majority carrier의 농도 변화는 무시할 수 있을 정도를 Low-level Injection이라고 합니다.

위 상태를 수식을 통해 forward bias에서 흐르는 current를 구해봅시다.각 type에서 n(x_p)와 p(x_n)의 그래프는 위와 같은 식의 형태로 나타납니다. 이 식에 Low-level injection과 앞 게시글 Equilibrium Fermi level에서 사용한 식을 이용하면 다음과 같은 식을 유도할 수 있습니다.

그리고 이 식들을 이용하여 n_p와 p_n의 변화값들을 구해 그래프에 주어진 델타값들을 구할 수 있습니다.

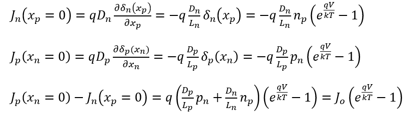
그리고 위 식을 전류밀도에 관한 식에 대입해 depletion 영역 경계면에서의 전류밀도를 구하면,

이를 통해 depletion 영역에 흐르는 전류를 구할 수 있습니다. ( I=J*A )

이렇게 구한 current에서 I_o의 값을 보면, 전체 전류는 doping이 많이 된 곳에서 적게 된 곳으로 흘러 들어간 carrier에 의해 결정됩니다. 이를 Diode Equation이라고 합니다. 즉 p+n junction에서 hole current를 2배 늘리고 싶다면, n-type의 doping을 줄이면 됩니다.
그리고 Fermi level은 qV_f만큼 벌어지게 됩니다.

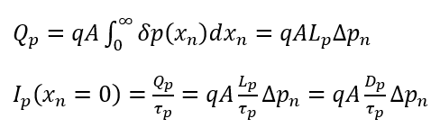
위에서 구했던 전류를 다른 방법으로 구해봅시다. diffusion current를 기준으로 excess minority carrier distribution을 이용하여 구할 수 있습니다.
p-type과 n-type에 저장된 전하량을 이용하여 x_n=0, x_p=0일 때의 전류값을 구해보겠습니다. 우선 p-type에서의 전하량과 I_p(x_n=0)을 구하면 다음과 같습니다.

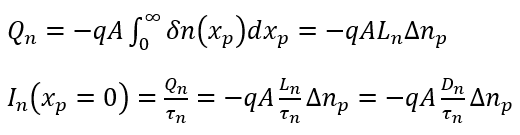
똑같이 n-type에서의 전하량과 I_n(x_p=0)도 구할 수 있습니다.

따라서 위의 그래프의 개형이 유지되는 것은 carrier가 계속 주입되면서 depletion 영역에서 멀어질수록 recombination되는 양이 증가하여 감소하는 것임을 알 수 있습니다.
오늘은 P-N Junction에서의 forward bias에 대해 알아보았습니다. 사실 이후의 reverse bias가 더욱 중요하기 때문에..!!! 다음에 이어질 (2), (3)게시글까지 잘 봐주시면 감사하겠습니다 ㅎㅎ

'[학부 일기] 전자공학과 전공 > 물리전자II' 카테고리의 다른 글
| [ 물리전자II ] Metal-Semiconductor Junction (0) | 2022.02.15 |
|---|---|
| [ 물리전자II ] P-N Junction의 Forward bias와 Reverse bias (3) (0) | 2022.02.15 |
| [ 물리전자II ] P-N Junction의 Forward bias와 Reverse bias (2) (0) | 2022.01.04 |
| [ 물리전자II ] P-N Junction의 정의와 구성 요소 (2) | 2021.12.20 |
| [ 물리전자II ] Fabrication Process : 공정 과정 (0) | 2021.10.30 |