안녕하세요 바니입니다!
너무 늦었지만 이래저래 일이 많았어서..
과거를 반성하며 이제 열심히 올려보겠습니다. 2월까지 물리전자2를 완성시키고 싶네요
이번 글은 지금까지 배운 forward bias와 reverse bias의 이론적인 내용이 아닌 현실에서 일어나는 추가적인 상황에대해 이야기 해보려 합니다!
2022.01.03 - [전자공학과 전공/물리전자II] - [ 물리전자II ] P-N Junction의 Forward bias와 Reverse bias (1)
[ 물리전자II ] P-N Junction의 Forward bias와 Reverse bias (1)
안녕하세요 바니입니다! 오늘은 저번에 배웠던 P-N junction에 전압을 걸어준 상태인 Forward bias와 Reverse bias상태에 대해 설명하고, Forward bias에 대해 집중적으로 정리해 보겠습니다 :) P-N Junction에서..
electronics-bani.tistory.com
2022.01.04 - [전자공학과 전공/물리전자II] - [ 물리전자II ] P-N Junction의 Forward bias와 Reverse bias (2)
[ 물리전자II ] P-N Junction의 Forward bias와 Reverse bias (2)
안녕하세요 바니입니다!! 오늘은 저번 게시글에서 언급했던 reverse bais에 대해 자세히 알아보도록 하겠습니다! 2022.01.03 - [전자공학과 전공/물리전자II] - [ 물리전자II ] P-N Junction의 Forward bias와 Rev.
electronics-bani.tistory.com
앞 내용들은 이전 글들을 참고하시면 되겠습니다!
- Deviations from the Simple Theory
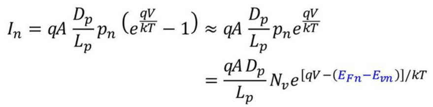
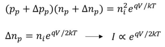
doping을 많이한 p-n junction (p+n+)에 forward bias를 걸어준다고 가정해 봅시다

doping이 높게 되어있기 때문에 각각의 fermi level은 valance/conduction band와 매우 가까이 위치해 있습니다.
이 상황에서 band gap과 비슷한 전압을 걸어주게 되면 매우 많은 current가 흐르게 될것입니다. 위 그래프처럼 말이죠.
이렇게 limiting forward bias를 통해 생긴 폭발적인 전류 증가는 band gap voltage보다 조금 이전의 전압에서 일어나게 될 것입니다. band gap과 비슷한 전압을 걸어주었기 때문에 이 이전에서 급격히 전류가 증가하게 되는 것입니다.
결론적으로 band gap이 클수록 forward bias가 커야만 폭발적으로 전류가 증가할 수 있게 됩니다.
위 상황을 수식으로 정리해 보겠습니다.
우선 built-in-potential의 근사치는 다음과 같이 구할 수 있습니다.

그리고 n type에 흐르는 전류를 구해보면,

V는 kT/q에 비해 매우 큰 값이기 때문에 위와같이 근사할 수 있게됩니다.
위 식에서 (E_Fn - E_vn)은 p+n에서 유의미하게 큰 값을 가지는 contact potential의 결정인자가 되고,
p+n+에서 band gap이 됨을 알 수 있습니다.
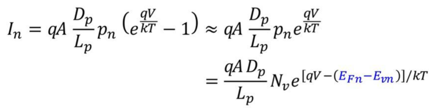
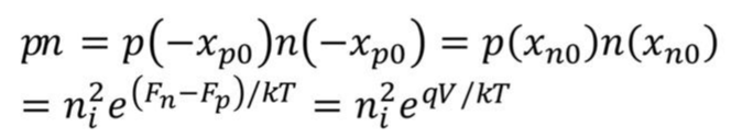
위와 같은 상황을 High-level injection이라고 합니다. 높은 carrier의 주입으로 늘어난 농도가 기존 농도보다 높아졌을 때의 상황을 말합니다.
이를 식으로 나타내면

그리고 p(-x_o)에서는

이때 우리는 다음 세가지 상황을 적용시킬 수 있습니다.

따라서 위 상황을 적용하면,

다음과 같이 전류의 기울기는 high-level injection으로 인해 변화한다는 것을 알 수 있습니다.
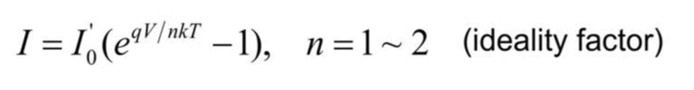
- Recombination in the Transition Region
앞 내용에서 transition region에서는 recombination이 일어나지 않는다고 가정하였습니다. 하지만 실제로는 recombination이 일어납니다.

위와 같은 비율로 recombination이 일어나고, 이상적으로 흐르는 전류를 정리해 보면 다음과 같습니다.

여기서 n=1일 때는 low-level injection, transition region에서 recombination이 거의 없고,
n=2일 때는 high-level injection이거나 transition region에서 recombination이 일어나는 경우일 때 입니다.
- Generation in the Transition Region

p-n junction에 reverse bias를 걸어주면, transition영역에 carrier가 열E로 인해 generation됩니다. 상황을 살펴보면,
reverse bias를 걸어주면 → W증가 → 내부 generation으로 인해 EHPs증가 → 강한 E-field로 인해 carriet 휩쓸림
→ current 발생
의 매커니즘으로 전류가 흐르게 됩니다.
여기서 current는 W에 linear하게, (reverse bias voltage)^1/2 만큼 증가하게 됩니다.
이러한 generation current를 줄이기 위해서는,
양단의 doping 농도를 증가시켜 W를 줄이는 방향으로 junction을 설계하면 됩니다.
- Ohmic Losses
P-N Junction에 Ohm의 법칙의 관점에서 살펴봅시다.

p형에 걸린 저항을 R_p, n형에 걸린 저항을 R_n이라 하고, junction에 걸린 전압을 V, 위 diode 전체에 걸린 전압을 V_a라 하면, 위와 같은 식으로 junction voltage를 나타낼 수 있습니다.
위 식에의 voltage drop부분을 통해 V_a만큼의 전압을 걸어주어도 이보다 적은 양의 전압이 junction에 걸림을 알 수 있습니다.
그리고 V의 감소는 I의 증가에 따라 천천히 일어남을 알 수 있고, I가 증가하면 carrier injection이 증가하게 되면서 R이 감소하게 되기 때문에 constant하지 않고 I에 따라 결정됨을 위 식을 통해 알 수 있습니다.
- Deviation from the Simple Theory - 결론
그럼 지금까지의 내용을 정리해서 reverse bias와 forward bias의 상황을 그래프로 나타내면 다음과 같습니다.

위 그래프의 각각 상황을 이해하고, 각 구간에서 사용되는 원리에 초점을 맞춰 공부하면 되겠습니다!
- Approximations to Diffused Junctions
p-n junction을 만들 때 경계면에 p와 n이 딱 나누어 떨어지게 만드는 것은 현실적으로 불가능 합니다.

그래서 surface 주변에서 Na가 0이 되게, 급격하게 만든 junction을 (맨 왼쪽 그래프)
Abrupt junction, Approximations라고 합니다.
반면 깊게 diffusion된 junction(deep drive-in diffusion)은 Graded junction이라고 합니다. (가운데 그래프)
맨 오른쪽 그래프를 보면 0에 가까운 부분은 Nd-Na=Gx의 형태를 보입니다.
G가 낮을수록 gradual한 junction이 되고 G가 무한대로 갈수록 abrupt한 junction이 됩니다.
graded junction의 그래프는 다음과 같이 볼 수 있습니다.
-W/2 ~ W/2 구간은 W사이에서 p와 n이 섞인 상태 입니다.
charge 농도는 Q=(qAGW^2)/8로 구할 수 있고 W가 증가할 수록 Q는 증가하게 됩니다.
이렇게 P-N junction에 대한 설명은 끝이 났습니다.
이론에 대한 이야기와 이론과 다르게 일어나는 편차들에 대한 이야기였는데, 사실 PN junction이 가장 기본중의 기본인 만큼 자세히 알아야 할텐데.. 아직은 저도 내용이 부족하고 부실한 것 같아 공부를 더 열심히 해야겠어요...ㅎㅎ

다음 포스팅에서는 Metal-Semiconductor구조에 대해 이야기 해보려고 합니다!
감사함니당!!
'[학부 일기] 전자공학과 전공 > 물리전자II' 카테고리의 다른 글
| [ 물리전자II ] MOSCAP의 구조와 원리(1) (1) | 2022.02.21 |
|---|---|
| [ 물리전자II ] Metal-Semiconductor Junction (0) | 2022.02.15 |
| [ 물리전자II ] P-N Junction의 Forward bias와 Reverse bias (2) (0) | 2022.01.04 |
| [ 물리전자II ] P-N Junction의 Forward bias와 Reverse bias (1) (0) | 2022.01.03 |
| [ 물리전자II ] P-N Junction의 정의와 구성 요소 (2) | 2021.12.20 |