안녕하세요 바니입니다 '^'
오늘 다뤄볼 주제는 MOSCAP 입니다.
MOS는 Metal-Oxide-Semiconductor으로 구성되어있는 구조를 말합니다.
뒤에 나올 중요한 MOSFET을 배우기 전에 알아두어야 할 개념이기 때문에 이번 게시물과 다음 게시물, 열심히 써보죠!
- MOSCAP의 구조

MOSCAP의 구조는 위와 같이 Metal-SiO2-Semi 순서로 이루어져 있습니다. 각각을 보면...
Metal - Poly / Poly-Si / highly-doped polycrystalline Si 를 전극으로 사용
SiO2 - 유전막으로써 E-field를 흘러보내줌
Semiconductor - p형이면 n-channel transistor / n형이면 p-channel transistor
위 그림에서 t_ox는 oxide의 두께를 말합니다.
- Energy Levels in MOS

위 그림은 Metal과 Semiconductor가 붙어있기 전, 즉 before contact 상황입니다.
MOSCAP구조를 위해 이들을 Si02와 붙인다면 두가지 케이스로 나누어 생각해 볼 수 있습니다.
① Special case (metal의 work function = semi의 work function)

이와 같이 M과 S의 work function이 같은 상황에는 flat한 band가 만들어 집니다.
② General case (metal의 work function ≠ semi의 work function)

주로 metal과 semi의 work function은 다른 값을 가지고 있기 때문에, 이러한 상황이 general한 상황이 됩니다.
이때는 E-field로 인해 SiO2에 기울기가 발생하고, semi에서 depletion이 발생하여 band bending이 발생하게 됩니다.
SiO2가 기울어진 방향과 band bending이 일어난 방향이 같은 것을 확인할 수 있습니다.
- Flat Band Condition
band가 flat한, no band-bending 상황에서 각각의 값들을 봅시다.

flat band voltage를 V_FB라고 하고 work function으로 나타내면 다음과 같고,

이를 통해 네가지 상황에서의 V_FB를 설정할 수 있습니다.

각 요소들의 값을 이용하면 semi가 n인지 p인지, metal이 n+인지 p+인지 확인할 수 있습니다.
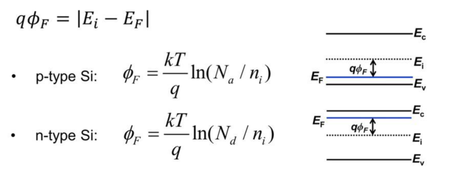
Semiconductor의 intrinsic level 에서 fermi level까지의 work function을 세타_F로 표현하고,
Bulk semiconductor potential이라 합니다.
이를 수식으로 나타내면 다음과 같습니다.

그리고 flat-band voltage는 work function difference로도 표현할 수 있습니다.

위 그래프를 보면, n-type과 p-type에서의 양상이 다른 것을 알 수 있는데,
p-type에서는 doping이 많이 될수록 세타_s가 증가하기 때문에, 세타_ms가 감소하고
n-type에서는 doping이 많이 될수록 세타_s가 감소하기 때문에, 세타_ms가 증가하는 모습을 볼 수 있습니다.
- MOS Band Diagram
flat band 상황에서 외부의 전압을 걸어줄 때 다음과 같은 상황을 가정할 수 있습니다.
① 같은 재료 내부에서 fermi level은 E_f로 flat하다.
② oxide의 band bending은 linear하다.
-> oxide 내부에는 charge가 존재하지 않아
dE/dx =0, E=constant, V=1차 함수, 즉 bend bending이 linear하게 된다.
③ E_ox와 E_si는 유정률이 비슷하다.
④ qV= E_Fs - E_Fm
-> fermi level을 일정하게 만드는 gate voltage. equilibrium으로 만들어 준다.
그리고 MOSCAP의 네가지 상태에서의 equilibrium을 다음과 같이 나타낼 수 있습니다.

- Voltage Drops in Mos
MOSCAP의 gate인 metal에 걸리는 전압, gate voltage인 V_G는 다음과 같이 표현할 수 있습니다.

이제 각각을 하나하나 살펴봅시다.
① V_FB
V_FB는 소재 결정과 같이 결정되는, 소재의 특성에 의해 결정됩니다.

이때 gate voltage와의 관계를 통해 두 상황으로 나누어 생각해 볼 수 있습니다.
1) V_G = V_ FB (V_ox=세타_s=0)

이 상태에서는 band bending이 일어나지 않는 상태가 됩니다.
2) V_G ≠ V_ FB (V_ox=세타_s=0)

이 상태는 위 사진과 같은 상태가 됩니다.
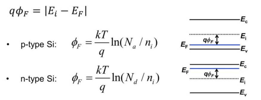
② V_ox
V_ox는 oxide에 걸린 전압을 말합니다.
이를 정확히 알기 위해서는 Si의 charge density를 알아야 합니다.

위 수식과 가우스 법칙을 이용하면,

V_ox를 구할 수 있습니다.

즉, Si에 얼마나 많은 전자가 존재하는지에 따라 V_ox가 변하게 됩니다.
③ 세타_S
이 값은 Surface potential이라고 하고, Si의 표면에서의 carrier 농도와 관련지어 설명할 수 있습니다.

위와 같은 관계성을 가지고,

각 상태에서 어떤 형태를 띄는지 알 수 있습니다.
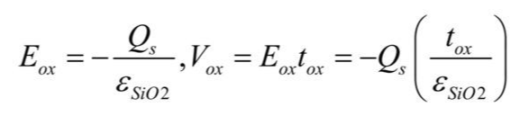
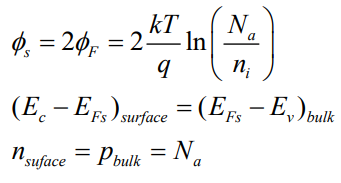
그리고 세타_S=2세타_F가 되는 상황에서는 Si의 표면 영역이 기존과 반대의 type으로 inversion됩니다.

위 상황은 p-type과 contact된 상황입니다. 표면이 n-type으로 inversion된 것을 쉽게 볼 수 있습니다.

위와 같은 수식을 통해 surface와 bulk의 carrier에 대해 설명할 수 있습니다.
그리고 위 상황을 위한 gate voltage를 V_T, threshold voltage라고 합니다.
- MOS Operating Regions
하나하나 자세히 살펴보기 전에 결론적인 MOSCAP의 작동에 대해 정리해 보았습니다.

n-type과 p-type의 상황과 매커니즘에 대해 잘 알아두는 것이 중요합니다!
이제 각 상태에 대해 자세히 다뤄봅시다.
각 상황은 p-type Si의 MOS상황으로 가정하겠습니다.
- Accumulation

accumulation에서의 voltage drop은 다음과 같습니다.

그리고 oxide를 통과하는 voltage는

accumulation상태에서의 charge density는 아래와 같이 표현할 수 있습니다.

- Depletion

depletion approximation(Si surface에는 space charge만 존재한다고 가정)에 따라 다음과 같이 표현할 수 있습니다.

이때 oxide를 통과하는 voltage와 depletion region의 charge density는 아래와 같습니다.


그리고 depletion region의 voltage drop은 다음과 같습니다.

위 식을 세타_s에 관해 풀어보면 ...


즉, V_G가 증가하면 band bending이 증가하기 때문에, band bending의 척도를 나타내는 세타_S또한 증가하게 됩니다.
그렇기에 세타_S가 점점 커지다가 세타_S≥2세타_F 가 되면 inversion되게 됩니다.
- Inversion
위에서 inversion되는 상황을 세타_S≥2세타_F 일 때라고 얘기했습니다.

이때의 threshold condition을 보면,

위와 같고, maximum depletion width또한 다음과 같습니다.

그리고 이때의 전압인 V_T를 나타내면 다음과 같습니다.


이 식을 통해 V_T와 C_ox의 관계를 알 수 있습니다.
우선 C_ox는 t_ox와 반비례 합니다. 그렇기 때문에 t_ox가 작아지면 E-field가 증가하기 때문에 inversion이 쉬워지게 됩니다. 그렇기에 V_T가 감소하게 되는 것이죠.

위 그래프에서도 이를 알 수 있습니다. 두께가 넓을수록 V_T의 크기가 커지는 것을 알 수 있습니다.
식에서도 충분히 알 수 있을겁니다ㅎㅎ
이번 게시글은 여기까지 입니다.
논문 공부도 하면서 물리전자 복습을 하니까 더욱 효율이 좋아지는 것 같네요 ㅎㅎ..

이어질 글에는 MOSCAP의 전하량과 capacitance에 초점을 두어 마무리 하려고 합니다!!
얼른 다음 게시물을 올려보겠습니다.
감사합니다!!! :-)
'[학부 일기] 전자공학과 전공 > 물리전자II' 카테고리의 다른 글
| [ 물리전자II ] MOSFET의 구조와 원리 (1) (0) | 2022.03.11 |
|---|---|
| [ 물리전자II ] MOSCAP의 구조와 원리(2) (0) | 2022.03.04 |
| [ 물리전자II ] Metal-Semiconductor Junction (0) | 2022.02.15 |
| [ 물리전자II ] P-N Junction의 Forward bias와 Reverse bias (3) (0) | 2022.02.15 |
| [ 물리전자II ] P-N Junction의 Forward bias와 Reverse bias (2) (0) | 2022.01.04 |