안녕하세요 바니입니다!!
이전 게시글이었던
2022.02.21 - [전자공학과 전공/물리전자II] - [ 물리전자II ] MOSCAP의 구조와 원리(1)
[ 물리전자II ] MOSCAP의 구조와 원리(1)
안녕하세요 바니입니다 '^' 오늘 다뤄볼 주제는 MOSCAP 입니다. MOS는 Metal-Oxide-Semiconductor으로 구성되어있는 구조를 말합니다. 뒤에 나올 중요한 MOSFET을 배우기 전에 알아두어야 할 개념이기 때문에
electronics-bani.tistory.com
에 이어서 MOSCAP에 대한 이야기를 끝내보려 합니다!
오늘은 MOSCAP에서 strong inversion, charge density에 대한 이야기를 중심으로 진행해겠습니다.
- Strong Inversion
우선, p-type Si의 MOS구조라고 가정하고 시작해 봅시다!

V_G를 V_T보다 크게 걸어주면, electron들은 depletion영역에 더 깊게 들어가지 않고, 그 영역에 쌓이게 되는 현상이 발생합니다. 즉 depletion영역의 width는 크게 변함이 없게 되는 것이죠.
이러한 이유 때문에 inversion상태에서 W_T를 세타_S=2세타_F라고 대입했던 이유 입니다.
그러면 V_G에 관한 식을 구해봅시다. 전체 전하량 Q의 공식과 이전 글에서 나온 V_G에 대한 식을 이용하면 됩니다.

그리고 위 식을 Q_inv에 관한 식으로 나타내면,

이를 통해 inversion으로 생긴 carrier는 전류를 흐르게 하는 역할을 하고,
fix된 V_T와 C_ox값이 아닌 V_G를 control해서 Q_inv을 조절할 수 있다는 것을 알 수 있습니다.
즉, V_G가 증가하면, Q_inv의 크기는 증가하게 됩니다.
Q_inv가 양수이면 p-Si에서의 inversion, 음수이면 n-Si에서의 inversion이 됩니다.

위 그래프를 보면, 세타_s는 V_T이후에는 완만하게 증가하는 추세를 보입니다. V_T일 때는 2세타_F일 때 겠죠?
- Total Charge Density
각 상황에서의 charge density 그래프를 살펴보도록 하겠습니다.

각 상황의 Q는 이전 게시물에 언급하기도 했고, 위 식에서도 유추할 수 있을 겁니다.
그래서 총 charge density는 다음과 같이 나타낼 수 있게 됩니다.

그리고 위 상황을 세타_s와 Q_s의 그래프로 나타내면,

각 그래프에서의 상황과, 값들이 어떤 관계를 가지는지 파악하는 것이 증요합니다.
추가적으로 week inversion은 fermi level이 band bending으로 인해 Ec와 가가워지는 상황에서의 inversion을 말합니다.
- Mos Capacitance

위 그림은 MOSCAP에서 capacitance measurement에 관한 그림입니다. v_ac는 AV전압, V_G는 DC전압입니다.
우리가 측정해야 할 대상은 i_ac이고, 이를 이용하면 capacitance를 구할 수 있습니다.

즉, 위에 있는 total charge density에서의 기울기가 C_ox가 됩니다.
그래서 capacitance의 그래프는 다음과 같습니다

위 그래프도 중요합니다..
우선 구간을 4개로 나누어 보면,
①strong accumulation ②weak accumulation ③depletion inversion ④inversion
으로 나눌 수 있습니다.
①구간에서는 C_ox의 변화가 보이지 않습니다.
②구간은 weak accumulation인데, ①과 구분한 이유는 debye cap으로 인해 값이 낮아졌기 때문입니다. 자세한 내용은 아래에서 언급하겠습니다.
③구간에서는 C_ox가 감소하고 최저점을 찍습니다. 바로 V_T일 때죠.
V_T에서의 C값은 depleion이 최대가 되고, inversion이 아직 진행되지 않을 때 이기 때문에 C_min이라고 합니다.
④구간에서는 frequency에 따라 두가지 상황이 나타날 수 있습니다.
각 구간에 대해 자세히 알아보도록 하겠습니다!!
<in Accumulation>

acc 상황에서는 C_ox만이 존재합니다.
metal쪽 표면과 semi쪽 표면에만 carge들이 존재하기에, 마치 oxide에 cap이 존재하는 것 처럼 보이게 되는 것이죠.
<Flat-band cap>
flat band (V_FB)일 때를 설명하기 전에 알아둬야할 개념을 먼저 설명하겠습니다. 바로 Debye length!!

debye length는 charge가 모였다가 안모였다 하는 것 처럼 보이지 않고 추가적으로 cap이 달려있는 것 처럼 보이는 길이를 말합니다.
예를 들어 설명해 보자면, +로 차 있는 곳에 - 하나가 주입된다면, 그 주변에 + charge들이 몰리면서 하나로 보이게 되겠죠? 그리고 -와 멀리 떨어져 있는 방면에서는 -가 없는 것 처럼 보이게 될 겁니다.
이 예시에서 -가 없는 것 처럼 보이는 거리를 debye length라고 하는거죠.
그래서 이 길이는 L_D로 표현하고, 위 식과 같은 관계를 가지고 있습니다.

그래서 이러한 debye length가 형성되어 C_Debye라는 cap이 추가되게 됩니다.
위와 같이 flat band상황에서 L_D가 형성되고, L_D식에서 C_Debye를 추출할 수 있게 됩니다.
<in depletion>

delpetion 상황에서는 depletion width인 W만큼의 D_dep이 생기게 되어 위와 같이 나타낼 수 있습니다.
<in Inversion>
1. Low Frequency

frequency가 낮을 때는 generation recombination에 의해 space에서 전자의 농도가 대응되게 됩니다. 그렇기 때문에 C_ox값만을 가지게 됩니다.
2. High Frequency

frequency가 높을 때는 변화가 빨라지기 때문에 -의 농도 변화가 상대적으로 느려보이게 됩니다.
그래서 surface에서 W_T만큼 떨어진 곳에 charge가 모이게 됩니다.
그리고 이때의 C값은 C_min이 됩니다.
이렇게 MOSCAP에서는 frequency에 따라 inversion의 상황이 달라지게 됩니다. 이러한 단점이 보완되는 ,,, MOSFET과 비교해 보면

MOSFET에서는 어떤 f이던 간에 높은 C_ox를 가짐을 알 수 있습니다.
즉, MOSCAP에서 생성되는 e-는 generation, recombination에 의해 생성되어 속도가 느리기 때문에, 빠른 AC신호에 대응하지 못하지만
MOSFET에서 생성되는 e-는 band bending이 일어나면 N+에서 가져올 수 있기 때문에 어떤 AC신호에서도 대응이 가능하다는 것 입니다.
아직 MOSFET부분을 언급하지 못했기 때문에 그냥 MOSFET은 MOSCAP보다 빠른 신호에 대응할 수 있구나 정도만 알아두면 좋겠습니다!
- Charges Associated with SiO2 and Si/SiO2

위 그림은 MOSCAP에서 유의해야 할 다양한 Q값들에 대해 나타내고 있습니다. 각각을 자세히 살펴봅시다!
<Q_m>
Q_m(mobile oxide charge)는 metal에 이온들이 돌아다니면서 생성되는 charge값 입니다.
이러한 Q_m이 더 잘 이동될 환경을 Bias-Temperature Stress(BTS) Measurement라고 합니다.

positive BTS는 V_G가 양수인 상황으로, 더 많은 +charge를 가지고 있는 효과를 냅니다.
그렇기에 inversion이 쉬워지게 되고, V_FB가 감소하게 됩니다.
반면 negative BTS는 oxide interface에서 멀어지게 되고 V_FB에 영향을 거의 끼치지 않습니다.
정리하면 Q_m은 flat band voltage의 두 값(그래프)가 얼마나 shift되었는지에 결정됩니다.
<Q_it>

Q_it(interface trapped charge)는 fermi level의 움직임에 따라 acceptor와 donor가 중성을 유지하는지 전자를 주는지 전자를 받는지를 결정하는 요인이 됩니다.
위 그림에서 acceptor state에 fermi level이 존재하면 전자를 가져올 수 있는 상태가 되고,
donor state에 존재하면 전자를 줄 수 있는 상태가 되는 것이죠.
그리고 그림의 energy state는 charge를 trap할 수 있는 상태를 말합니다.

각 상황에서 살펴보면 위와 같습니다.

그리고 위 그래프를 통해 C-V 그래프에서 interface state가 증가할 수록, trap이 더 많이 될수록 그래프가 더 눕는다(Slopy)는 것 또한 확인할 수 있습니다.
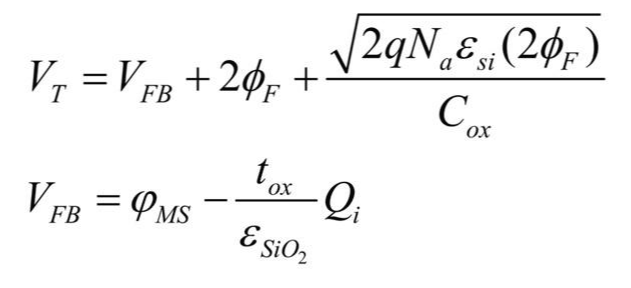
<Q_i>
Q_i는 interface에 있는 positive charge를 말합니다. 이미 존재하는 charge이기 때문에 이들을 고려해서 V_FB를 결정하게 됩니다.

위와 같이 V_FB를 표현할 수 있고, 우리가 알고 있는 V_T식을 V_FB에 관하여 변환한 뒤 대입하면 다음과 같이 Q_i를 구할 수 있습니다.

<Q_ot>
Q_ot(oxide trapped charge)는 에너지가 높은 carrier들인 hot carriers/energetic들을 말합니다.
<Q_f>
Q_f(fixed oxide charge)는 SiOx(0<x<2)의 내부에서 oxide의 결합에서 나온 trap들에 있는 charge를 말합니다.
- Parameter Extraction from C-V

총 정리를 위해 한번 더 C-V그래프를 가지고 왔습니다.
이 그래프에 많은 정보가 담겨있기 때문에 문제를 풀 때 언급이 많은 부분이었어서 가져와 봤네요.
그니까 그만큼 중요하다는 뜻!!!!
- Time-Dependent Dielectric Breakdown (TDDB)
TDDB를 알아보기 전에, TDDB의 원리인 tunneling의 종류 두가지에 대해 알아보려 합니다.

FN tunneling은 삼각 구조에서 tunneling하는 상황이고, Direct tunneling은 두께를 전부 다 tunneling하는 상황입니다.
E_ox가 증가하게 되면 band bending이 심해지게 되고 I가 폭발적으로 증가 되는데, 이러한 전류는 tunneling에 의한 영향을 받습니다.
앞에서 MOS에서 SiO_2는 전류가 흐르지 못하고 전기장만 흘려보내준다고 하였습니다.
하지만, Oxide 내부에 h+와 e-가 trap되면서 E_ox가 증가하여 위와 같은 tunneling이 발생하고, 이로 인해 I가 흐르는 상황이 발생하기도 합니다.
Oxide에 band bending이 생기고 시간에 따라 지속적으로 bias를 걸어주면 I가 흐르게 되는 것 입니다.

이러한 과정을 TDDB라 하고, 이는 MOS의 기능을 평가할 때 사용한다고 합니다!
오늘 내용인 MOSCAP에 대한 이야기는 여기까지 입니다!
중간에도 잠깐 언급하였듯이 다음 글은 MOSFET이 될 것 같네요ㅎㅎ
MOSFET은 ... 물리전자의 꽃과 같은 매우매우매우 중요한 내용이니까 저도 최대한 열심히 써보겠습니다!!
아직 부족한 지식들이지만 차근차근 채워가면서 .. 써보겠습니다!!

사실 이 글을 쓰는 시점에.. 개강을 해버려서,,,,
이번 겨울 방학 때 물리전자2를 끝내려 했지만..ㅠㅠ,,, ((tmi
여튼 다음 글들도 잘 봐주셨으면 좋겠네요!
글 봐주셔서 감사합니다!!!! :-)
'[학부 일기] 전자공학과 전공 > 물리전자II' 카테고리의 다른 글
| [ 물리전자II ] MOSFET의 구조와 원리 (2) (0) | 2022.03.14 |
|---|---|
| [ 물리전자II ] MOSFET의 구조와 원리 (1) (0) | 2022.03.11 |
| [ 물리전자II ] MOSCAP의 구조와 원리(1) (1) | 2022.02.21 |
| [ 물리전자II ] Metal-Semiconductor Junction (0) | 2022.02.15 |
| [ 물리전자II ] P-N Junction의 Forward bias와 Reverse bias (3) (0) | 2022.02.15 |