안녕하세요 바니입니다!!
오늘은 이전 게시글에 이어서
2022.03.11 - [전자공학과 전공/물리전자II] - [ 물리전자II ] MOSFET의 구조와 원리 (1)
[ 물리전자II ] MOSFET의 구조와 원리 (1)
안녕하세요 바니입니다! 드디어 물리전자2의 꽃과 같은 MOSFET에 대한 글을 쓰네요. 이번 게시글에서는 mosfet의 구조와 다양한 characteristic을 중점으로 다뤄보겠습니다! MOSFET (Metal-Oxide-Semiconductor Fi.
electronics-bani.tistory.com
MOSFET에 대한 이야기를 이어나가보려 합니다.
- Substarte bias effect - Body effect
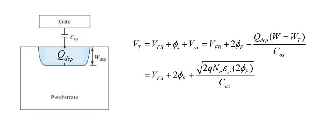
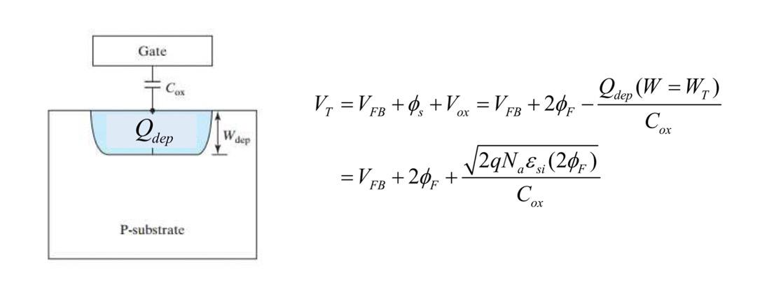
V_T는 전류를 흘릴 수 있는 전압을 결정하는 역할을 하기 때문에, MOSFET에서 중요한 요소 중 하나입니다.
그래서 V_T가 일정한 값을 유지하는 것이 이상적이지만, V_T가 변하게 되는 현상은 Body Effect라고 합니다.

body에 전압이 ground가 아님을 가정하면, V_T의 값이 정해지는 조건이 변하게 됩니다.

이를 이용해 V_T의 식을 다시 세워본다면 다음과 같아집니다.

body voltage가 0V일 때인 원래의 V_T값을 V_T0이라고 하였습니다.
여기서 V_B(body voltage)의 부호에 따라 변하는 V_T에 대해 집중적으로 확인해 봅시다.
① V_B>0
body voltage가 양수가 되면, n-MOSFET에서는 전류를 모으기 더욱 쉬워지기 때문에, V_T가 감소하게 됩니다.
식에서도 이를 유도할 수 있죠.
② V_B<0
body 쪽에 음의 방향으로 커진 전압을 걸어줄수록, energy bnad diagram상에서 band가 위로 올라가게 됩니다.
이로 인해 depletion 영역의 폭이 증가하게 되고, depletion 영억에 드러나게 된 space charge가 증가합니다.
증가한 space charge는 표면에 전하들을 모으는 것을 방해하게 되고 channel영역에 전자들을 모으기 어려워 지게 되죠.
이러한 과정으로 인해 V_T가 증가하게 됩니다. (물론 식에서도 확인 가능합니다!)

이러한 상황을 그래프로 나타내어 보았습니다. 위 식을 가져왔는데, 여기서 기울기는 감마가 됩니다.
위 수식을 통해, C_ox가 증가하면 slope가 감소하기 때문에, V_T의 변화는 완만하게 일어나기 때문에,
gate가 channel의 영역에 얼마나 영향력을 끼치는지를 나타내는 gate controllability가 증가하게 됩니다.
- Equivalent circuit for the MOSFET

위 그림은 MOSFET을 회로도로 구성한 것 입니다. 나머지는 다 이해가 가겠지만 추가 설명을 하자면 ...
oxide쪽 있는 C_OS와 C_OD는 각각 source와 drain영역과 gate영역이 겹치는 부분, overlap을 말합니다.
만약 서로가 겹치지 않는다면 underlap이 됩니다.
그리고 저항이 존재한다는 것은 voltage drop이 존재함을 말합니다.
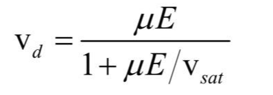
- Saturation current with velocity saturation
E-field가 ~10^4V/cm 이상으로 높아진다면, carrier의 drift current가 더이상 증가하지 않고 saturation되는 현상이 일어납니다.

이 전의 기울기는 mobility를 나타내고, 이 각각의 값들을 이용해 drift velocity를 나타낼 수 있습니다.

그리고 saturation되는 maximum drift velocity는 hole인지 electron인지에 따라 나눌 수 있습니다.

velocity를 구했으니 이제 saturation current를 구할 수 있습니다

위 수식을 통해 saturation current는 L에 의존하지 않고, (V_G-V_T)에 비례함을 확인할 수 있습니다.
- Channel of MOSFET
MOSFET에 존재하는 channel은 기술의 진보로 인해 길이가 변화했습니다.
그래서 long-channel과 short-channel으로 구분지어 볼 수 있겠습니다.

long channel에서는 전류가 saturation되지만, V_gs의 증가에 따라 간격이 증가하는 것을 확인할 수 있습니다.
반면 short-channel에서는 전류가 점점 증가하지만 간격이 일정함을 보입니다.
- Short channel effect
기술이 발전하면서 channel은 점점 짧아졌고, 이로 인해 다양한 현상들이 발생하였습니다.
그러한 현상들을 short channel effect라고 합니다.

L이 긴 경우에는 C_dep가 channel에 관여하지 못할 정도로 작기 때문에 C_ox의 영향만을 받습니다.
즉, gate로만 channel이 통제가 가능해 진 것이죠.
L이 짧아진 경우에는, C_dep가 channel에 영향을 꽤 많이 끼치게 됩니다.
source와 drain에 channel에 영향을 끼치면서 다양한 현상들이 발생하게 되는 것이죠.
그러면 이러한 현상들을 몇가지 알아보도록 하겠습니다.
1. Hot carrier effect

channel이 짧아지면, E-field가 증가하게 됩니다. E-field가 증가하면 전하의 속도도 증가하게 되는데,
impact ionization으로 인해 Avalanche breakdown이 발생하게 됩니다. <<pn junction게시물 참고!
이로 인해 EHP가 생성되고 이때 생성된 e-는 hot carrier가 됩니다.
이 hot carrier가 그냥 전류가 되면 좋겠지만, 얘가 oxide로 넘어가게 되면서 문제가 발생하게 됩니다.
그리고 같이 생성된 h+는
1) substrate current가 되어 body로 가거나
2) 다시 source로 들어가게 됩니다.
이러한 현상의 발생 여부를 알아보려면, impact ionization에서 발생된 substrate current를 측정하면 됩니다.
측정했을 때 substrate current가 측정되면 hot carrier가 발생한 것 이고,
측정되지 않으면 h+가 source로 갔거나 / hot carrier가 발생하지 않은 상황이 됩니다.
즉, V_S, V_D, V_G, V_B를 모두 측정해보면 발생한 carrier의 움직임이 측정 가능합니다!

hot carrier인 e-는 oxide에 charging되면서 문제가 발생합니다.
electron이 oxide에 들어오고 에너지가 낮은 쪽으로 떨어지면서 damage를 입히게 됩니다.
이 damage로 trap이 생성되고, oxide의 내부, 계면에 전하가 생기게 되면서 V_T의 변화가 발생하게 되는 것이죠.
이렇게 발생한 substrate current는 다음과 같은 그래프로 표현됩니다.

위 그래프에서 V_D와 V_B는 고정되어 있습니다.
이때 impact ionization의 경향에 대해 살펴보자면,
① V_G가 낮은 영역에서는
V_G가 증가하면, impact ionization이 일으킬 수 있는 carrier가 증가, impact ionization rate가 증가하게 됩니다.
② V_G가 높은 영역에서는
V_G가 증가하면, pinch-off 영역의 최대 E-field가 감소하게 되므로, impact ionization rate가 감소하게 됩니다.
2. V_T roll-off
V_T roll-off는 V_D가 커질수록, channel에 drain의 영향이 커지며 V_T의 감소에 영향을 끼치는 현상을 말합니다.

위 그래프에서 V_D가 커지면서 V_T가 감소한 것을 확인할 수 있습니다.
source와 drain의 p-n junction은 gate아래에 있는 Si 영역을 depletion시키는데 도움이 되기 때문에,
short-channel effect에서 더욱 많이 보이는 현상입니다.
이 V_T roll-off 현상을 설명하는 모형을 Yau model이라 합니다.


오른쪽 그림에서 파란 삼각형으로 칠해진 부분이 source와 drain이 channel에 영향을 끼치는 부분을 나타내고,
이를 shared charge라고 부릅니다.
왼쪽 그림을 통해 L이 길면 이 부분이 크게 티가 안나지만, L이 짧으면 영역이 상대적으로 position이 증가하게 됩니다.
즉 이 구역은 L과 관련없이, doping농도에 따라 정해지게 되는 것 입니다.
위 구역을 확대해서 얼마나 이 구역이 영향을 끼치는지 알아봅시다.

위 삼각형을 피타고라스 공식을 이용하여 전개하면,
위와 같은 수식을 얻을 수 있습니다.

즉, reverse bias를 걸어주면 W가 증가하게 되고, drain에서 channel에 가하는 영향력이 증가하는 것을 알 수 있습니다.
그리고 이 식을 이용하여 V_T의 변화율(long->short)을 구할 수 있습니다.

3. Narrow width effect
MOSFET을 위에서 바라봤을 때(cross-section view) width(W)를 구할 수 있습니다.

W가 감소하게 되면, field oxide가 완만하게 변하면서, 얇은 gate oxide 영역이 생깁니다.
상대적으로 source와 drain영역 쪽의 oxde 두께(t_ox)가 넓어지고, 이로 인해 C_ox가 감소하게 됩니다.
즉, source와 drain쪽에 추가적인 전압이 있어야 depletion이 되며 channel이 형성되기 때문에,
W가 감소할수면 V_T가 증가하는 이러한 현상을 narrow width effect라고 합니다.
4. Drain-Induced Barrier Lowering (DIBL)

디블(DIBL)현상은 channel이 짧아짐으로 인해 source와 drain이 가까워 지면서,
drain에 걸리는 전기적 포텐셜의 영향이 커지면서, source 근처의 channel에 영향을 끼치는 현상이 DIBL이 됩니다.
그래프를 보면, L이 작고 V_ds가 클수록 DIBL이 심해지므로, drain current가 더 많이 발생하는 것을 확인할 수 있습니다.
5. Channel length modulation
저번주에 언급했던 pinch-off현상에서 drain 전압이 상승되어도 전류가 일정해진다고 이야기 했지만,
실제로는 drain voltage를 상승시키면 drain current 또한 선형적으로 증가함을 보입니다.
V_d가 커지면서 channel길이가 짧아지기 때문이죠.

pinch-off 상황에서 drain전압이 더 증가하면, channel이 사라지는 영역이 더더욱 증가하면서
전체 channel의 길이가 짧아지기 때문에 전류가 증가하게 됩니다.
이러한 현상을 channel length modulation이라고 합니다.
그래프에서 V_D의 증가에 따라 I_D도 선형적으로 증가함을 확인할 수 있습니다.
6. Gate-Induced Drain Leakage (GIDL)
leakage current는 원치 않은 current가 흘러나간 현상을 말합니다.

NMOS가 꺼진 상황에서 V_G를 음의 값, V_D를 양의 값으로 설정해 주면,
drain쪽 n+에 depletion이 발생하고 band bending이 일어나게 됩니다.
이로 인해 tunneling distance가 가까워 지게 되면서 tunneling이 발생하게 되죠.
즉, 기들(GIDL) current는
증가한 E-field로 인해 drain 쪽으로 흘러들어가게 된 leakage current
가 됩니다.
tunneling으로 인해 EHP가 생성되고, V_D가 커짐으로 생긴 E-feild를 따라 carrier가 움직이게 됩니다.
이때 e-는 drain쪽으로 흘러가게 되면서, drain curent가 발생하게 되는데
MOSFET이 꺼진 상황에서 전류가 흐르는 leakage current가 된 것 입니다.
이렇게 MOSFET 게시글이 끝이 났습니다..!!
논문을 읽으면서 복습을 하다보니 더욱 읽기 수월하긴 하다만..
여튼 물리전자2를 빨리 끝내고 다른과목도 정리해보고 싶기 때문에 얼른 끝내야 겠죠

다음 게시글은 BJT로 이어집니다!
아마 하나의 게시글에 꽉꽉 담아 한번에 게시할 것 같네요..!!!!
글 읽어주셔서 감사합니다 :)
'[학부 일기] 전자공학과 전공 > 물리전자II' 카테고리의 다른 글
| [ 물리전자II ] BJT의 구조와 원리 (0) | 2022.03.17 |
|---|---|
| [ 물리전자II ] MOSFET의 구조와 원리 (1) (0) | 2022.03.11 |
| [ 물리전자II ] MOSCAP의 구조와 원리(2) (0) | 2022.03.04 |
| [ 물리전자II ] MOSCAP의 구조와 원리(1) (1) | 2022.02.21 |
| [ 물리전자II ] Metal-Semiconductor Junction (0) | 2022.02.15 |