안녕하세요 바니입니다!
이번 게시글은 Bipolar Junction Transistor, BJT에 대한 글을 써보려 합니다!
뒷부분에 수식적인 면이 많은데, 수식을 외우기 보다는 이해하면서 보면 이해가 쉬울 거에요! 아마도 ,,,
- BJT(Bipolar Junction Transistor)

BJT는 이름 그대로 2개의 다른 PN junction으로 이루어진 transistor를 말합니다.
가장 먼저 발명 된 transistor이기도 하지요.
구조는 위 사진과 같이 구성되어 있고,
Emitter, Base, Collector 세가지 부분으로 구분할 수 있습니다.
그리고, Emitter와 Base 사이의 junction을 Emitter junction,
Base와 Collector사이의 junction을 Collector pn junction이라 합니다.
MOSFET의 장점은 다음 두가지 정도 있습니다.
1) higher density ; 같은 영역에서 더 많은 칩을 생성해 생산성과 성능이 높음
2) low power consumption ; 저전력으로 구동 가능해 에너지 소모가 낮음
반면 BJT는,
1) high speed
2) low noise
3) high power output
과 같은 장점을 가지고 있죠.
성능면에서는 BJT가 더욱 뛰어나지만, 실제에서는 density와 power가 더 중요시 여겨지기 때문에
MOSFET을 많이 사용하기는 합니다.
BJT에는 두가지 type이 존재합니다.

junctnio이 어떻게 구성되어있는지에 따라 종류와 전류의 흐름이 달라지게 됩니다.
그리고 전압의 기준점(Common)을 어디로 할지에 따라 다르게 표현되기도 하죠.

왼쪽 표를 통해 V_EC가 증가하면 I_C는 saturation되는 것을 확인할 수 있습니다.
이때 current gain은 베타로 표현하고, i_C/i_B로 나타냅니다.
- Operating mechanism of BJT
BJT의 작동 원리를 알아보기 전에, pn junction의 reverse bias일 때의 상황을 다시 복기해 봅시다.
reverse bias가 걸리면, majority carrier의 diffusion으로 인해 reverse saturation/generation current가 발생했고,
1) optical ; 빛을 가해서
2) injection of minority carriers ; carrier의 주입으로 인해
발생했었죠.
위 매커니즘을 생각하면서 다음과 같은 BJT의 동작 원리를 알아봅시다.

위 BJT는 p+np 구조를 가지고 있고, 각 junction에서
Forward-biased emitter junction(p+n) ; injection of holes
Reverse-biased collector junction(np) ; reverse current
의 bias를 가지고 있습니다.
이때 n의 영역(Base)은 hole의 diffusion length보다 작은 width를 가지고 있다고 위와 같이 가정합니다.
또한 이 영역에서는 recombination이 없다고 가정해 봅시다.
Base로 넘어온 hole들은 W_b가 작아 diffusion을 통해 n-p junction의 depletion region까지 도달할 수 있습니다.
그리고 depletion region에 형성된 E-field에 hole들은 휩쓸리게 되고 Collector에 주입되게 됩니다.

즉, Collector current는 base-emitter junction을 통해 컨트롤이 가능함을 알 수 있습니다.
이렇게 V_EB>0, V_CB<0일 때를 Forward Active mode라 합니다.
- Mode of BJT operation

위 사진은 BJT의 작동 방법에 대한 사진입니다.
다음과 같이 네 가지 방식이 존재하고, pnp에서는 주로 Forward Active mode를 사용합니다.
- Performance parameter of BJT - (1)

위 그림은 p+np의 다양한 흐름들을 보여주고 있습니다.
①, ④ : recombination되는 carrier
② : collector에 도달하는 hole들
③ : generation current
⑤ : electron injection (∵ Forward bias)
그리고 ③이 없다고 가정하면, 네가지 parameter를 구할 수 있습니다.
1.

E에서 B로 주입된 hole들이 얼만큼 C까지 도달했는지의 비율을 말합니다.
2.

E에 흐르는 전체 전류에서 i_EP의 비율을 나타냅니다.
3.

여기서 base current는
⑤ e-를 Emitter junction에 얼마나 주었는지
④ e-가 얼마나 recombination 되었는지
에 따라 결정되고, 위 식을 정리하면 base current와 collector current의 비율을 알 수 있습니다.
4.


amplification 역할을 할 때 얼마나 증폭을 하는지를 나타내는 지표입니다.
위 식은 다음과 같이 표현할 수도 있습니다.

타우_t : recombination없이 hole이 Emitter -> Collector로 흐르는 시간
타우_p : (Base에서) recombiation이 되는 시간
타우_p가 클수록, 타우_t가 작을수록 베타값이 커지기 때문에 증폭이 더 잘 됩니다.
좋은 BJT를 만들기 위해서는
Base에서 recombination이 잘 일어나지 않게 B를 크게 해줘야 하고(1에 가깝게),
electron injection인 ⑤보다 hole current를 더 크게 하기 위해 r(감마)를 크게 해줘야 합니다.
- Notation - PNP BJT

위 값들은 각 구간에서 사용되는 값들입니다. 설명을 조금 추가해본다면,
N : doping 농도
D : minority carrier기준으로하는 diffusion constant
타우 : 시상수
L : length
n : minority carrier 농도
정도 되겠습니다.
알아둬야 할 점은 D, 타우, L은 minority carrier를 기준으로 한다는 것!!
- Mionority carrier profiles
위에서 말했듯이, BJT에서는 minority carrier의 흐름이 중요하기 때문에, 다음 그림이 중요할 것 같네요

파란색 선은 minority carrier의 농도를 나타낸 것 입니다.
p+은 p-type doping이 많이 되어있기 때문에 Base의 p보다 적게 들어있는 것을 확인할 수 있습니다.
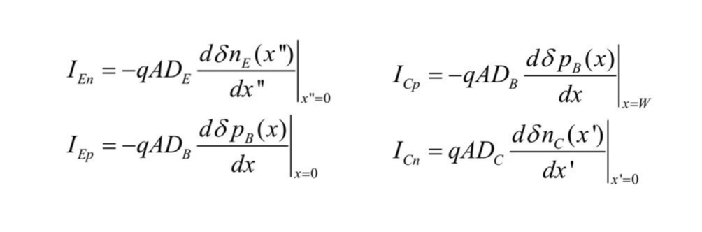
- Procedures of I-V Derivation
위 그림을 통해서 Emitter와 Collector에서 n과 p의 current를 구할 수 있습니다.
diffusion current는 minority carrier를 이용해
각 그래프의 좌표계를 보고 기울기를 파악하여 양수와 음수를 정하면 됩니다.

그리고 carrier의 diffusion에서 언급되었던 식,

을 넣으면 다음과 같은 식과 그래프를 유도할 수 있습니다.

Lp와 Ln은 recombination 하기 전 평균적으로 진행하는 거리를 말합니다.
이제 각 영역에서의 current를 구해봅시다.
각 식들을 유도하는 것은 어렵지 않으니 하나하나 짚어보면서 확인해보세요!
① Emitter region analysis

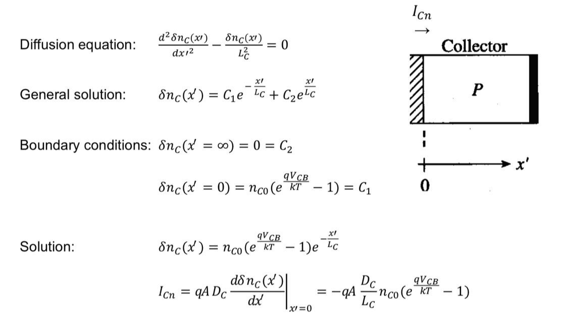
② Collector region analysis

③ Base region analysis


이렇게 정리한 식들을 총 조합하면, Emitter current와 Collector current를 다음과 같이 정리할 수 있습니다.

- Approximations of the Terminal current
위에서 구한 식들을 조금 더 간단히 나타내기 위해 근사를 해보겠습니다.
근사는 다음 네가지 조건을 적용합니다.
(1) Forward active mode에서는 다음과 같은 식이 성립한다.

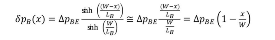
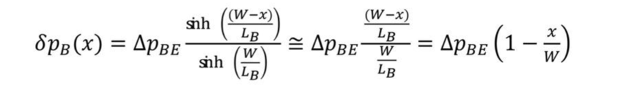
(2) Base의 길이가 W<<L_B인 경우,

이 성립한다. sinh(y)=y, cosh(y)=1, tanh(y)=y로 근사가능 (=이 아닌 ~~로 쓰는 것이 맞습니다)
(3) Emitter의 currnet는 hole에 의해서만 영향을 끼친다.

(4) Collector saturation current는 무시할 수 있다.

이렇게 근사한 current들을 나타내면 다음과 같이 정리할 수 있습니다.
① I_E

② I_C

③ I_B (recombination에 의한 base current)

위 그래프에서, I_B와 W는 비례, 타우_B와는 반비례 하는 성질을 알 수 있습니다.
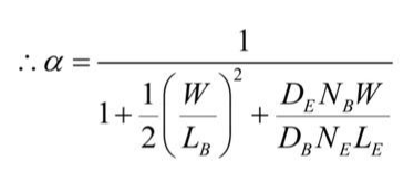
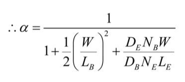
- Performance parameter of BJT - (2)
위에서 언급했던 BJT의 성능을 나타내는 네 값들 또한 근사를 통해 표현할 수 있습니다.
① Base transport factor (B)

② Emitter injection efficiency (감마)

③ Current transfer ratio(알파)


④ Base-to-Collector current amplification factor(베타)

강의에서는 2주로 나누어서 설명을 들었던지라 한 게시글에 쓰기에는 양이 좀 많아보이네요 ..
후반부의 식은 위에서도 말했지만 각 과정을 이해하면서 식을 유도해 내며 익히면 좋을 것 같아요!!

앞으로 물리전자 내용은 2개 정도 남았는데, Optoelectronic에 관련된 것들입니다.
사실 제가 관심있는 분야가 이게 아니라서.. 생각을 하다가 이 게시글들은 올리지 않는걸로 결정내렸습니다.
즉, 이 게시글이 마지막이거나 나중에 복습할 때 더 올리던가 할거같네요.
여튼 긴 글 읽어주셔서 감사합니다!!!!!!!!! 얏호
'[학부 일기] 전자공학과 전공 > 물리전자II' 카테고리의 다른 글
| [ 물리전자II ] MOSFET의 구조와 원리 (2) (0) | 2022.03.14 |
|---|---|
| [ 물리전자II ] MOSFET의 구조와 원리 (1) (0) | 2022.03.11 |
| [ 물리전자II ] MOSCAP의 구조와 원리(2) (0) | 2022.03.04 |
| [ 물리전자II ] MOSCAP의 구조와 원리(1) (1) | 2022.02.21 |
| [ 물리전자II ] Metal-Semiconductor Junction (0) | 2022.02.15 |