안녕하세요 바니입니다!
이전 게시글 까지는 p-n junction에 관해 이야기 해 보았는데요!
이번 글은 Metal-Semiconductor구조에 대해 이야기 해보려고 합니다.
- Metal-Semiconductor Junction
Metal-Semiconductor Junction은 metal이 도체로써 전기적으로 흐를 수 있게 해주고,
Semiconductor로 이러한 전류를 switching하는 동작을 진행하게 하는 Junction입니다.

이러한 MS Junction의 종류는 두가지가 존재합니다.
- Schottky contact
- Ohmic contact
이 두가지를 중점으로 MS junction에 대해 알아봅시다!
- Schottky contact
Schottky contact는 정류역할, rectifying을 합니다.
(1) n-type

metal의 work function(세타_m) : ∞ ~ metal의 fermi level
semiconductor의 work function(세타_s) : ∞ ~ semiconductor의 fermi level
electron의 affinity(카이, X) : ∞ ~ semi의 condiction band
위 세가지의 값들을 통해 여려가지 관계를 알아낼 수 있는데,
위 그림은 n type으로, metal의 work function이 semi의 work function보다 큰 상황임을 알 수 있습니다.
metal과 semi가 떨어져 있는 상황에서는 fermi level이 다르게 존재하지만, 둘을 붙이게 되면 fermi level이 같아지게 되고, semi에 band bending이 일어나게 됩니다. band bending이 일어나게 되면서 diffusion region이 형성되게 되는거죠.
위와 같이 metal과 n type을 붙이면,
metal에는 (-)의 영상전하가 생기고, n-type에는 (+)의 space charge가 생기게 됩니다.
세타_B로 나타내져 있는 것은 Schottky Barrier로, n-type의 c.b에서 metal의 fermi level까지의 값을 나타냅니다.
V_o는 contact potential으로, n-type과 metal의 fermi level 차이의 값을 나타냅니다. 그리고 이 값으로 band bending이 얼마나 되었는지도 알 수 있습니다.

이제 이러한 구조의 ms junction에서의 전류의 흐름에 대해 이야기 해 봅시다.
① Forward bias를 걸어주면,
Ec와 Ev가 더 완만해 지면서 electron이 diffusion되기 쉽기 때문에 전류가 흐르게 됩니다.
② Reverse bias를 걸어주면,
Ec와 Ev의 경사도가 더 높아지게 되기 때문에 electron이 diffusion되기 어려워 전류가 흐르지 못하게 됩니다.
위와 같은 상황을 통해, 한쪽의 방향으로만 전류가 흐르는 정류작용을 하는 Schottky contact가 형성되게 됩니다.
(2) p-type

위와 반대로 p-type의 경우에는, semi의 work function이 metal의 work function보다 큰 상황이 됩니다.
band bending 또한 n-type과 반대로 일어나게 되죠.
metal과 p-type을 붙이게 되면,
metal에는 (+)의 영상전하가, p-type에는 (-)의 space charge가 생기게 됩니다.
그리고 전류의 흐름은
① Forward bias를 걸어주면,
Ec와 Ev의 경사도가 더 높아지게 되기 때문에 electron이 diffusion되기 어려워 전류가 흐르지 못하게 됩니다.
② Reverse bias를 걸어주면,
Ec와 Ev가 더 완만해 지면서 electron이 diffusion되기 쉽기 때문에 전류가 흐르게 됩니다.
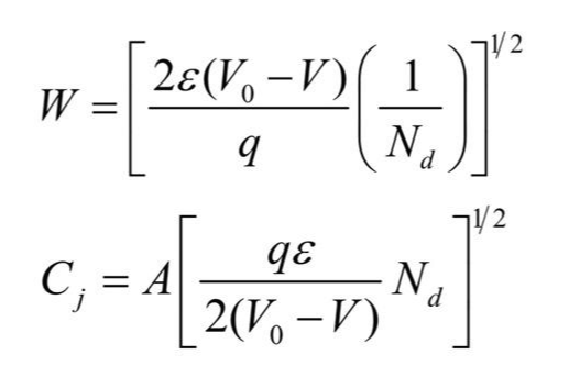
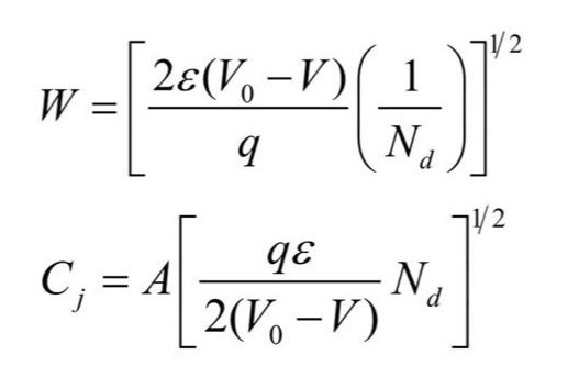
- Depletion Width & Junction Capacitance
Schottky contact의 상황에서 발생하는 depletion width와 junction capacitance에 대해 알아봅시다.
metal에는 carrier가 매우 많은 상태인 것을 인지해 두고,
n-type과 metal이 접촉되어 있는 상황에서 두 값은 다음과 같습니다.

- Typical Schottky Barriers
위에서 설명한 Schottky barrier(세타_B)의 수식을 보면, 일차식으로 표현되어 있습니다.
이러한 일반된 경향성(monotic relation)이 존재하지만, 실제로 아래 두 물질에서의 기울기는 다름을 알 수 있습니다.

즉, 위의 식은 정확하게 떨어지지 않는다는 것 입니다.
metal과 n-GaAs가 junction을 이뤘을 때, interface state가 생겨 band gap 사이 금지된 영역에 e-가 속해있을 수 있게 됩니다. 이들이 고정되었을 때, Ec의 자유전자는 interface의 e-와 척력이 생겨 밀려나게 되어 자유전자가 간소화 되게 됩니다. 이로인해 Ec와 E_F가 멀어지게 되고 전자 농도또한 감소하게 되는 것입니다. 따라서, 반드시 Schottky contact가 형성되게 됩니다. 이 상태에서 fermi level은 pinning, 고정되어 있습니다.
- Ohmic contact
Ohmic contact는 우선 n-type과 p-type의 상황을 보고 어떤 역할을 하는지 알아보겠습니다.
(1) n-type

Ohmic contact에서 n-type을 metal과 붙인 상황에서는, semi의 work function이 metal의 work function보다 큽니다.
Schottky와는 반대의 work function관계를 가지고 있습니다.
이 상황에서는 그림에서 보이듯이 depletion 영역이 존재하지 않습니다.
그렇기에, forward bias나 reverse bias 모두의 상황에서 전류가 잘 흐르게 됩니다.
(2) p-type

Ohmic contact에서 p-type을 metal과 붙인 상황에서는, metal의 work function이 semi의 work function보다 큽니다.
그리고 위와 같이 depletion 영역이 존재하지 않고,
forward bias나 reverse bias 모두의 상황에서 전류가 잘 흐르게 됩니다.
즉, Ohmic contact 상황에서는 양방향으로 전류가 잘 흐르게 됩니다.
- Ohmic contacts with Heavy Doping
바로 위에서 우리는 Ohmic contacts는 양방향으로 전류가 흐르는 상황임을 알 수 있습니다.
이는 contact region쪽에 높은 농도로 doping된 semi가 존재했기 때문이라고도 말할 수 있습니다.
(위 그림들을 보았을 때, 접촉면의 semi 농도가 높음을 알 수 있습니다.)
그러면 이러한 상황을 Schottky contact에서 일어나게 할 수 있을까요?
바로 tunneling 현상을 이용하면 됩니다.
tunneling current는 -d에 exponential하게 비례합니다. ( I∝e^-d )
여기서 d는 tunneling distance이고, Schottky contact에서는 depletion width, W를 이용하면 됩니다.

metal과 semi의 space에 doping을 증가시키면, 위 식을 통해 W가 감소, 즉 d가 감소하게 됩니다. 이로인해 tunneling현상이 일어나 tunneling current가 증가하게 됩니다. 즉 양 방향으로 전류가 흐를 수 있게 되는 겁니다.
이렇게 Schottky contact에서도 양방향으로 전류가 흐르는, Ohmic contact와 같은 성질을 가질 수 있게 됩니다.
- Ideal Metal-Semiconductor Contacts

위 표의 상황들을 통해 이상적인 Schottky contact와 Ohmic contact 상황을 정리할 수 있습니다.
오늘의 주제인 MS Junction에 관한 이야기는 여기까지 입니다.
여기서 가장 중요한 개념은 work function에 관한 이야기이지 않을까.. 싶습니다.
뒤에 나올 MOSCAP에서도 언급이 되고 work function으로 인해 동작을 제어할 수 있기 때문에 ,,

ㅎㅎ 여튼 다음 게시물은 MOSCAP에 관한 글이겠습니다.
빠르게 빠르게 올려보도록 하죠. 화이팅!
감사합니다!!
'[학부 일기] 전자공학과 전공 > 물리전자II' 카테고리의 다른 글
| [ 물리전자II ] MOSCAP의 구조와 원리(2) (0) | 2022.03.04 |
|---|---|
| [ 물리전자II ] MOSCAP의 구조와 원리(1) (1) | 2022.02.21 |
| [ 물리전자II ] P-N Junction의 Forward bias와 Reverse bias (3) (0) | 2022.02.15 |
| [ 물리전자II ] P-N Junction의 Forward bias와 Reverse bias (2) (0) | 2022.01.04 |
| [ 물리전자II ] P-N Junction의 Forward bias와 Reverse bias (1) (0) | 2022.01.03 |