안녕하세요!
오늘 [반도체 소자 및 설계]에서 다뤄볼 내용은 Resistance와 Capacitance에 대한 내용입니다!
수업시간에서는 4주차 내용이었고, 당분간은 Device Physics에 대한 내용으로 쭉 이어질 것 같아용
그럼 시작해보겠습니다~
<Resistance>
우선 resistance는 저항을 말합니다. 물리 소자적으로 언급되는 저항에는 두 가지 종류가 있는데,
1. Contact Resistance & 2. Sheet Resistance가 있겠습니다.
- Contact Resistance(Rc)
Contact Resistance는 말 그대로 접촉면에 의해 생기는 저항을 말합니다.

MOSFET의 source와 drain에 보면, Metal과 Silicon이 맞닿아 있는 영역에 저항이 생기게 되는 것이죠.
위 MOSFET에서 전류 I_d가 흐르면서 느끼는 총 저항을 생각해보면,
channel영역으로 인해 생기는 저항과, 이 contact resistance가 존재하기 때문에
R_tot = R_ch+(2)Rc
라고 표현할 수 있겠습니다! 2Rc는 S와 D이기 때문에 2개라고 해도 되고, 그냥 Rc라고 적더도 무관합니다!

위와 같이 L을 늘리면서 각 상황에서 측정되는 총 저항값은, L의 증가에 따라 linear하게 증가하게 됩니다.
이를 TLM(Transmission Line Measurement)라고 하고, R_tot의 linear한 경향성을 말해줍니다.
그래프를 통해서도 (2)Rc에서 시작하여 일차함수의 형태로 증가하는 것을 볼 수 있습니다.

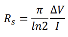
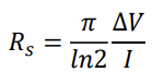
- Sheet Resistance(Rs)
Sheet Resistance는 면에 의한 저항을 말합니다. 일반적으로 알고 있는 저항의 식이 여기서 유도된 것 입니다.

위와 같은 면에서 구할 수 있는 저항은 다음과 같고, 이 저항식에서 Rs를 구할 수 있습니다.

Rs의 단위는 [옴/sq]로, 단위면적을 기준으로 하여 사용 물질의 특성을 나타냅니다.

sheet resistance를 측정하는 방식으로, Four-point probe가 있습니다.
current source, I를 걸어주어 전압을 측정하여 저항을 구할 수 있습니다.

<Capacitance>
- Capacitance
흔히 알고있는 식인 Q=CV를 통해, capacitance는 전압에서 얼만큼 전하가 쌓이는지를 확인하는 parameter 입니다.
그리고 다음과 같은 capacitance 식을 소자 물리적으로는 사용합니다.

여기서 입실론_o는 진공에서의 유전상수를 말합니다.
k는 dielectric constant, 유전 상수로 gate oxide에 사용하는 물질의 특성을 나타냅니다.
k가 높을수록 capacitance는 증가하고, 물질마다 다른 k값을 가지고 있기에 원하는 값을 가진 물질을 골라 사용할 수 있습니다.

k의 종류로는 Si(k=3.9)를 기준으로
low k - capacitance↓, RC delay를 줄일 때 사용
high k - capacitance ↑
로 나눌 수 있습니다.
두 구조에서 capacitance를 비교해 봅시다.

왼쪽은 MIM 구조입니다. metal 사이의 oxide내부의 C_ox에 capacitance가 걸리게 됩니다.
이때의 capacitance는 전압과 무관하게 일정한 C_ox값을 가짐을 알 수 있습니다.
오른쪽은 MOS구조입니다. 위와 동일하게 oxide에 C_ox가 있습니다.
이때는 추가적으로 Silicon에 cap이 형성되는데, 이 cap은 gate bias에 민감하게 반응하면서 depletion영역이 생성되면서 만들어 집니다.
그렇기에 이 cap은 전압에 민감하게 반응하고, high-frequency일 때는 위와 같은 C_ox 경향을 보입니다.
(high-frequnecy에 대한 내용은 아래에)
- MOSCAP에서 CV curve - NMOS
우선 MOSCAP 네가지 상태는 다음과 같습니다.

그리고 MOSCAP의 CV curve는 다음과 같습니다.

strong inversion은 p-body의 channel이 n-type처럼 surface가 inversion된 상황을 말합니다.
이때의 그래프는 3가지 frequency 상황에 따라 그래프의 개형이 바뀌게 됩니다.
frequency에 따라 달라지는 이유는, 우선 capacitance를 측정할 때 전압계에 AC 신호를 넣어 C의 변화를 통해 구하게됩니다.
C는 frequency에 따라 특성이 바뀌게 되기 때문에, AC의 주파수에 따라 반응이 달라지게 되는 것 입니다.
그러면 각 상황에 대해 살펴봅시다.
① LF (Low-frequency)

frequency가 낮을 때는 inversion layer에서 EHP가 AC신호에 충분히 반응할 수 있는 상황을 말합니다.
즉, inversion될 carrier를 공급하는데 EHP의 시간적인 여유가 충분하기 때문에 inversion영역에서 전하량이 바뀌게 됩니다.
그래서 LF 상황에서는 C_ox만 달린 형태가 되는 것이죠.
그래프에서 △Q는 AC 신호에 인해 생기는 변화를 말합니다.
정리하자면, DC와 AC에서 equilibrium인 상태가 됩니다.
② HF (High-frequency)

frequency가 빨라지면 carrier는 이에 맞추지 못하고 천천히 작동하게 됩니다. inversion영역에서 대응하지 못합니다.
그래서 depletion영역에서 전하량이 변하게 되고, 그래프에서 볼 수 있듯이 depletion영역이 증/감 하는 방향으로 반응합니다.
그래서 총 capacitance도 다음과 같이 표현할 수 있습니다.
DC에서는 equilibrium상태가 되고, AC 에서는 1kHz 이상에서는 반응하지 못해 non-equilibrium상태가 됩니다.
(~ms의 EHP생성 능력을 가지고 있기 때문에 kHz 이상에서는 불가)
③ DD (Deep depletion)
DD 상황은 HF상황에서 fast DC ramp를 가진 상황입니다.
이때는 DC, AC 모두에서 non-equilibrium상태가 되고, C는 감소하는 형태를 띕니다.
- CV curve를 변화시키는 요인
그러면, 위와 같은 CV curve를 변화시키는 요인에 대해 알아보겠습니다.
1) Q_f : fixed charge

Q_f는 oxide내부에 위치해 있는 움직임 없이 charge된 전하들, consistently charged를 말합니다.
이미 oxide내부에 있기 때문에, 전하의 종류에 따라 voltage와 C의 관계가 변하게 됩니다.
즉, Q_f는 CV curve를 shift하는 역할을 합니다.
2) Q_it : interface charge

Q_it는 oxide의 surface에 charge되거나 discharge되면서 charge trap의 갯수가 변하게 되는 전하입니다.
Si에 있는 dangling bond(surface에서 결합하지 않은 charge)들이 이 trap에 갇히게 되면서
CV curve의 slop는 눕게 됩니다.
자세한 Q_it의 내용은 물리전자2 MOSCAP(2)에 나와있습니다 :)
여기까지 Resistance와 Capacitance에 대한 내용이었습니다!
후반부의 CV curve내용은 물리전자2에 썼던 글에 더 자세히 나와있는데 혹시 참고하시려면 하십쇼 ㅎㅎ
다음 글은 MOSFET에 대한 글이 될 것 같네요

약 8일정도 남은 중간고사인데,, 잘보길 바라며 화이팅!!!!
'[학부 일기] 전자공학과 전공 > 반도체 소자 및 설계' 카테고리의 다른 글
| [반도체소자및설계] Device Physics - Memory Device (1) | 2022.05.26 |
|---|---|
| [반도체소자및설계] Device Physics - MOSFET Technology (0) | 2022.04.17 |
| [반도체소자및설계] Device Physics - scaling (2) | 2022.04.15 |
| [반도체소자및설계] Device Physics - MOSFET (1) | 2022.04.13 |
| [반도체소자및설계] Fabrication Process (0) | 2022.04.09 |